Алматы қаласы
Білім басқармасының
"№68 бөбекжай-бақшасы"
коммуналдық мемлекеттік қазыналық кәсіпорыны
Телефон завующего:
+7(727) 396-45-23
Телефон методиста:
+7(727) 396-13-88
sadik68_
Нашар көрушілер
нұсқасы
Авторизация
Главная
Президент жолдауы
Рәміздер
Қала әкімдігіа
Білім басқармасы
Кері байланыс
Ақпарат
Аттестация
Әдістемелік жұмыстар
Біз туралы
Топтар
Тарихымыз
Әкімшілік
Педагогтар
Ата-аналарға
Балалар жұмысы
Күн тәртібі
ТВ-Видео
Мекен жайымыз
Іс-шаралар
Тамақтандыру
Ашық бюджет
Қаржыландыру және сатып алу жоспары
Кіріс және шығыс есебі
Бекітілген бюджет
Қаржылық қызметтің негізгі көрсеткіштері
Ашық орган
Мемлекеттік қызмет
Қамқоршылық кеңес
Консультациялық пункт
Найти
КГКП "Ясли-сад №68"
»
Ашық орган
»
Консультациялық пункт
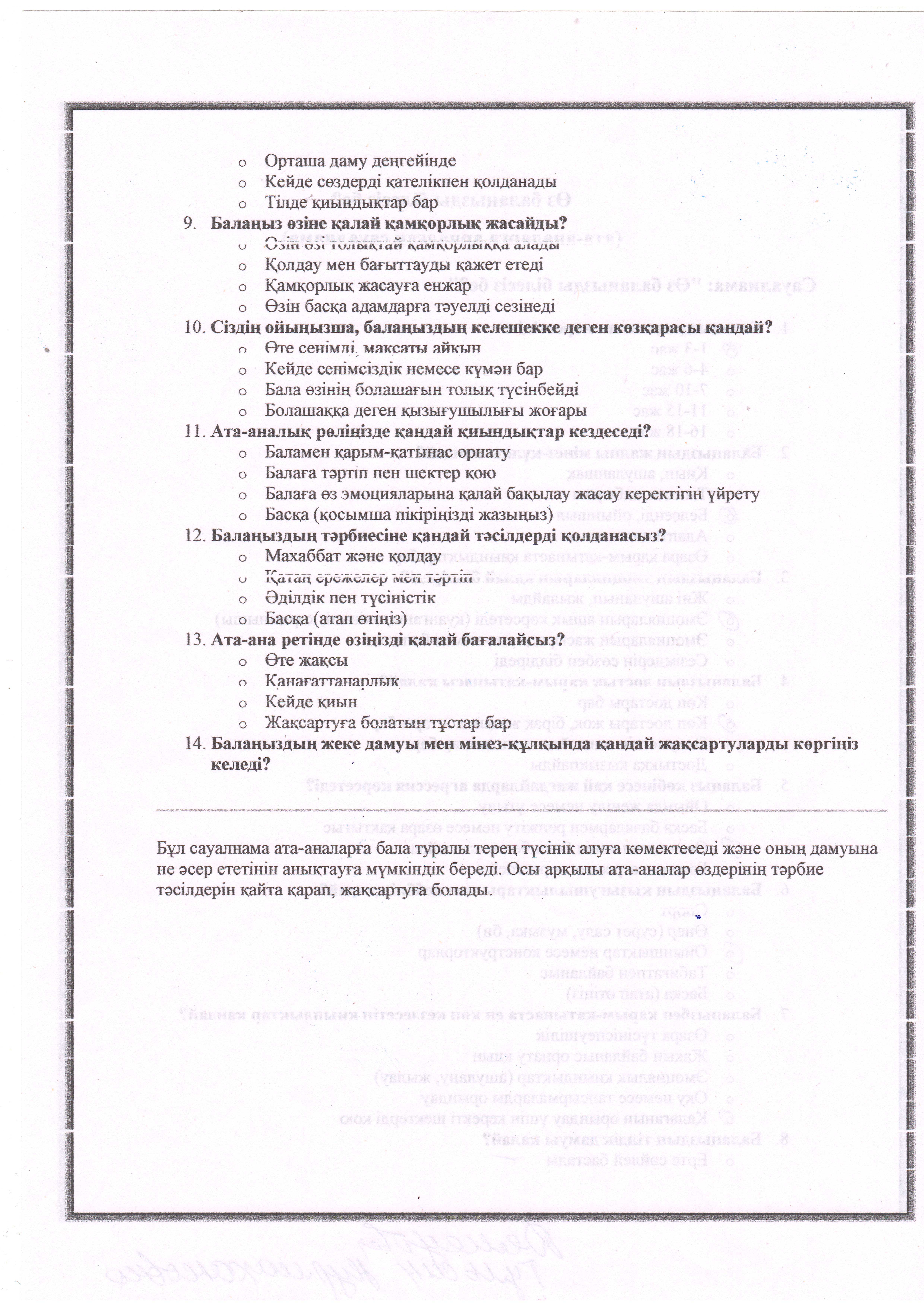
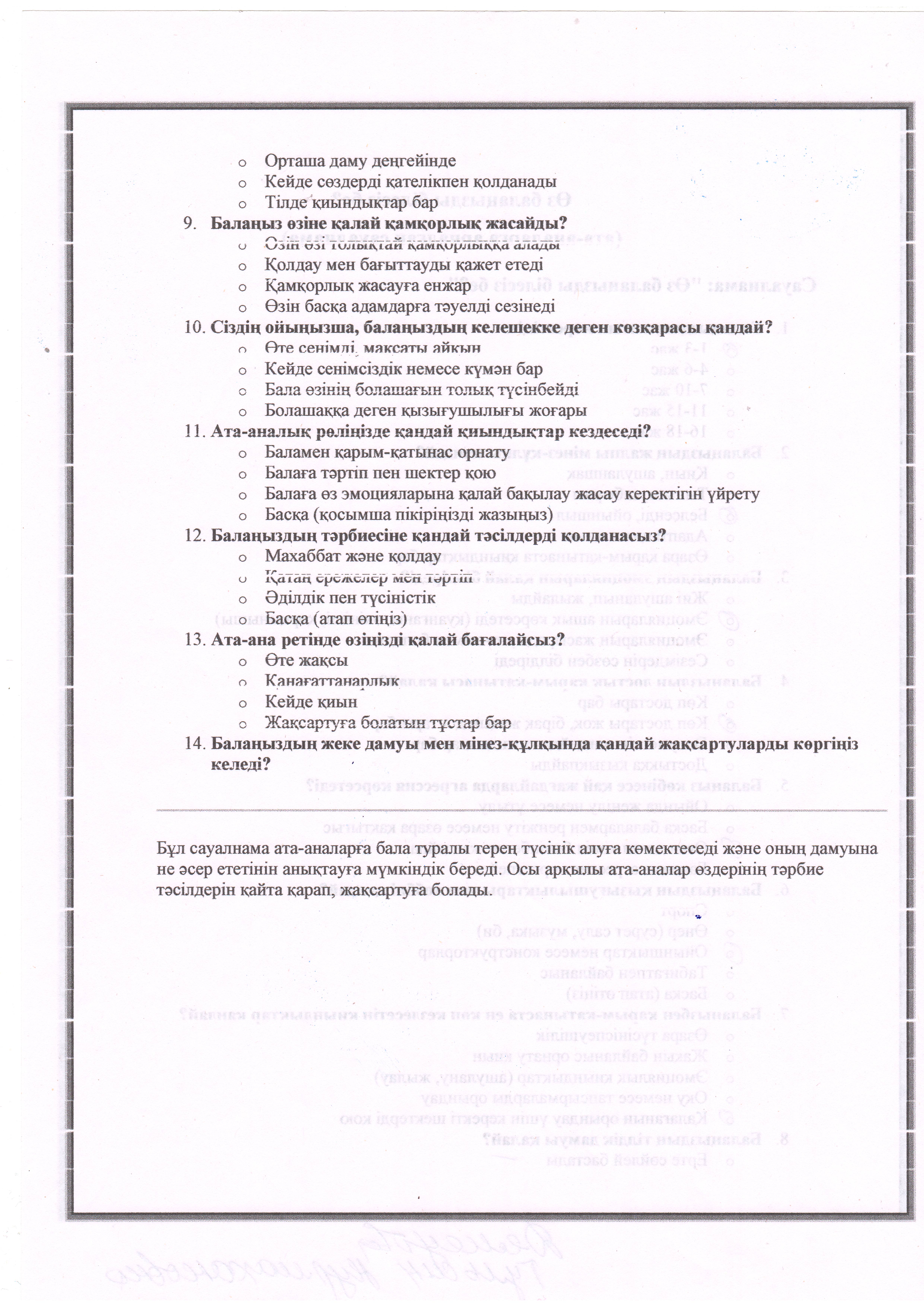
» Өз балаңызды білесізбе? Сауалнама
06
ноябрь
2024
0
1
2
3
4
5
Өз балаңызды білесізбе? Сауалнама
Авторизация
Войти на сайт
Чужой компьютер
Забыли пароль?
Регистрация